Lernkarten Info

Hier erfährst du alles über diese Lernkarte

Reaktionen OCII / ETHZ 4. Semester



Multiple Choice Karten
Normale Karten
Total Karten
Kategorie
Sprache
Von

Wacker Oxidation

1,3-Dipolar Cycloaddition (Huisgen-Reaction)

Entschützung eines Sylil-Ethers durch Säure. Dies funktioniert nur bei kleinen, nicht-steirischen Silyl-Substituenten. Sind sie gross muss man TBAF nehmen. (TBAF = Tert-Butylammoniumfluorid) 

Nitrenes from alpha-Elimination

Semi-Pinacol-Rearrangement

Birch-Reaction for Electron Donating Groups

 

Organolithium und Grignards können als Base fungieren

Reppe-Carbonylation

Pinacol-Coupling reaction

Claisen Rearrangement

Ullmann CC (Typisch hier: Zwei Aryle, einer mit Haliden oder SCN, einer mit Alkholen, Aminen, Hydroxylaminen, etc.)

Strain Promoted Azide Alkyne Cycloaddition

Mitsonobu Reaction can be used for a stereo-inversion

Diimide Reduction (Wichtig: Immer Cis)

Organoselenium compounds can be converted to olefins

Application: Michael-Acceptors

Formation of an 1,3-Aminoalcohol

Yamaguchi-Macrolactonization

Reductive Amination

Direct Arylation

Educt can be obtained from an aldol condensation

Formation of an [1,3]-Diol using a Grignard reagent after aqueous workup. 

Hydroalumination

Johnson-Claisen Rearrangement

Diole können Carbonyle durch Acetalbildung schützen, ermöglicht durch sauren Kat. (Siehe auch OCI)

Photochemically allowed 2+2 Cycloaddition. Not possible by thermal activation (bar some exceptions). 

Deprotection der Boc-PG geht nur unter sauren Bedingungen (Hier mit TFA)

Bildung von Weinreb Amiden aus Estern

Mit Triphenylphosphin können Azide zu Aminen reduziert werden. Benötigt einen wässrigen Workup-Schritt

Another way of creating Diazo-compounds (also done in-Situ)

Sonogashira CC. Die Stereochemie bleibt erhalten.

Cyclopropanes from Singlet-Carbenes (Only cis)

Nitrile oxide cycloaddition

Radical Starter AIBN

Hydride Shift (Merke: Je grösser /  länger das Molekül, desto einfacher geht der Hydride Shift)

Suzuki-Miyaura CC

Hetero Diels-Alder reaction

Carbenes from Diazocompounds

Mitsonobu-Reaction (Key Chemical: DEAD). Beachte: Stereoinversion

Possible reaction products from Isocyanates 

 Cyclopropanation

Negishi CC (Typisch hier: Zn-Verbindungen)

Bildung von Epoxiden aus Olefinen (mCPBA = meta-chloroperbenzoic acid)

Formation of phosphorous ylides (Wittig Part 1)

6-Ring Electrocyclic Cycloaddition

CuAAc / Click Reaction

Example of a thermally allowed 2+2 Cycloaddition

Formation (and subsequent reaction) of sulfurous ylides

Deprotection of the Alloc PG 

Cope Rearrangement

Hofmann Rearrangement (Reaction Intermediate: Nitrene, then isocyanate)

Wittig Olefination of a carbonyl group yields an olefin.

Birch-Reaction for Electron-Withdrawing Groups

Pd-Catalyzed Hydrostannation // Syn-Addition!

Olfein Metathese, katalsiert durch Grubbs-II. Als Nebenprodukt entsteht Ethen-Gas 

Enyne Methathesis 

(RCM = Ring-Closing-Mechanism)

Thermally allowed 2+2 Cycloadditions

Lossen-Rearrangement (Intermediate: Nitrene)

Hat man eine DMG (= Directing Metallation Group) im Aromaten, so greift das Lithium selektiv an der ortho-Position an. Grund: Zusätzliche Komplexierung des Metalles mit der DMG. DMG agiert als Lewis-Base

Schlenck-Gleichgewicht. GGW zwischen einfach alkyliertem Magnesium und zweifach alkylierten Magnesium (ungewollt)

Corey-Charkovsky-Cyclopropanation

Radical formation from Dibenzoyperoxide (DBPO)

Fixierung des Enolats durch -OTf ermöglicht CC's

Acid Chloride Formation

Entschützung der Cbz Gruppe nur durch Palladium auf Kohle möglich

(Sollte Pd / C auf dem Rxn-Pfeil heissen)

Deprotection der Benzyl-PG

Mukaiyama Condensation

Nazarov cyclisation

Anregung der Reaktion durch Temperatur oder Photonen 

Electrocyclic Reaction. Wichtig: Art der Anregung der Reaktion bestimmt die Art der Rotation der sigma-Bonds! Die zwei Orbitale am Ende des HOMO's bzw. SOMO's sind hier relevant. Sie rotieren so, dass sie konstruktiv überlappen! Dies bestimmt letztlich die Stereochemie.

Bei 4n:

Thermisch ==> conrotatory (Beide rotieren in gleiche Richtung, HOMO relevant)
Photochemisch ==> disrotatory (Rotation in entgegengesetzte Richtung, SOMO relevant)
(Bei 4n + 2 ist es dann genau umgekehrt)

Solvatized Electrons. Used in Dissolving metal reduction

Wohl-Ziegler Reaction

Radical CX-Reduction

Hetero-Retro-Diels-Alder reaction

Horner-Wadsworth-Emmons-Reaction (HWE-Selectivity: E)

Herstellung von Organolithiumverbindungen, "Old-fashioned Way" <== Wird heute meist mit anderen Organolithiumverbindungen durchgeführt. Grund: Nur 1 eq. und man must nicht mit metallischen Lithium hantieren.

Benzil-Rearrangement

Single-Electron-Oxidation

Wittig Rearrangement aus einer transmetallierten Verbindung

Cyclopropanation reaction (from Carbenes)

Cope Rearrangement

Herstellung von Organoborverbindungen

Curtius Rearrangement (via Nitrene Intermediate)

One way of forming diazocompounds (Typically in-situ)

Beispiel einer Enyne Metathesis

Corey-Fuchs-Reaction (Part 2)

Baylis-Hillman-Reaction

Meerwein-Ponndorf-Verley reaction (MPV-Reaction)

Aromatic Claisen Rearrangement

Miyaura Arylboronic Ester Synthesis (B-B cc) Kat. Zyklus gleich wie "normale" Suzuki-Miyaura CC

Heterocyclic Carbenes

De Mayo Reaction

Payne-Rearrangement

Tebbe-Reaction

Sonogashira CC (Typsich hier: Pd und Cu Katalysator gleichzeitig ==> Zwei verschiedene Reaktionszyklen)

CH-Insertion Reaction

CH Halogenation

Entschützung der Fmoc-PG geht nur unter basischen Bedingungen (Hier mit Piperidin)

Hunsdiecker-Reaction

Alkyne Hydrogenation

Herstellung von Grignard-Reagenzien 

Dissolving Metal Alkyne Hydrogenation, gives trans-alkene

Uncatalyzed Hydroboration (Wichtig: Ergibt immer das Anti-Markovnikow Produkt, also an der weniger substituerten Stelle der DB wird die Borverbindung sein.)

Bildung von Aziden

Radical CX-Addition

Wittig Rearrangement

Transition metal catalyzed Hydroboration 

4+2 Cycloaddition (Diels-Alder)

Favorskii-Rearrangement (Ring Contraction!)

Selektivität bei Metal-Halogen Exchange

Formation of Cyclohexones (Other acids are also possible - not just this one)

Conversion from alkoxy-group to alcohol, which then tautomerizes to the keto-species.

This reaction is usually done after a Birch-Reaction

Herstellung von Organozinnverbindungen (Aus Organolithium bzw. Grignard-Verbindungen)

Grignard Reaktion mit einem Weinreb-Amid. Stoppt auf Stufe Keton aufgrund von Chelatbildung: 

Hydroformylation Reaction

Prinzip von Cupraten: Alkyl Substitution

Obtainable products from ozonolysis

Hydrostannation (Radikalreaktion) 

Seyferth-Gilbert Reaction / -Homologation

Example of a Heck Reaction

McMurry Reaction

Entschützung eines Silylethers mit TBAF

Appel-Reaction (Only works with CBr4, also gives -Cl with CCl4)

or

Two ways to obtaine nitrile oxides

Arndt-Eistert-Homologation (Elongation by one CH2-element)

Cannizzaro Reaction

Eschenmoser Claisen Rearrangement

Homolysis Chlorine

Nitrenes from azides

Rauhut-Carrier Reaction

Herstellung von Organozinnverbindungen (Für z.B Stille CC)

Alkene Hydrogenation (Syn-Addition)

Corey-Winter-Olefination

Baeyer-Villiger Oxidation. Oxidert Ketone zu Estern. Es muss nicht spezifisch mCPBA verwendet werden, andere Persäuren gehen auch.

Barton-Decarboxylation

Cyclopropanation / Verläuft via Metal-Carbene Intermediat

Metalla-Ene Reaction

Hydrozirconnation and possible products

Evans-Mislow Rearrangement

Hetero-Ene Reaction

Hydroboration / Product is anti-markovnikow, meaning the borane is added to the less substituted side of the double bond

Alpha Cleavage of a Ketone

Cuprate addieren bevorzugt [1,4]!

Danishefskys diene (4+2 Cycloaddition)

Lithium Halogen exchange

Tishenko-Reaction

Kumada CC (Typisch hier: Grignard als Metall)

Bildung eines Alkohols durch Selenoxid (Läuft über eine Ene-Reaction ab)

Acyloin Condensation / Reaction

Anregung entweder thermisch oder durch Photonen

Electrocyclic reaction. Die Art der Anregung gibt die Rotation der HOMO bzw. SOMO-Endorbitale vor und bestimmt dadurch die Stereochemie.

Ring-Contraction

Electrocyclic Ring Opening

Reduktion von Nitroverbindungen zuu Aminen

Cyclopropanes from triplet-carbenes (cis- and trans possible)

Beckmann-Rearrangement

Corey-Fuchs-Reaction (Part 1)

Ozonolysis 

Wolff-Ziegler-Reaction

Stille CC

Carbenes from alpha-Cleavage

Mithilfe eines Grignard-Reagents können Cuprate-Reaktionen auch katalytisch durchgeführt werden.

Deprotection of an acetal

Bildung von Selenverbindungen an alpha-Postionen von Carbonylen (Können nacher zu Olefinen umgewandelt werden.)

Oxy-Cope Rearrangement (Base erhöht die Reaktionsgeschwindigkeit um mehrere Grössenordnungen)

Still-Genari-Reaction

Hydrogenation of Olefins 

Intramolecular Benzil Rearrangement

Stetter-Reaction

Barton-McCombie-Deoxygenation

Suzuki-Miyaura CC (Typisch hier: Organoborverbindungen)

2+2 Cycloaddition froming a beta-Lactam

 

E2-Eliminerung eines Alkohols (Siehe auch ACOCII)

Grignard Reaktion mit einem Ester. Stoppt nicht auf Stufe Keton, sondern reagiert bis zum Alkohol. (Wichtig: Hier nicht aufgeführt ist der wässrige Workup)

Hiyama CC (Typisch hier: Si-Alkyle)

Simmons-Smith-Cyclopropanation

Group-Transfer reaction

Anregung entweder thermisch oder durch Photonen

Elektrocyclic Reaction. Die Art der Reaktionsanregung gibt die Stereochemie vor!. Siehe unten

Alder-Ene Reaction

Ireland-Claisen Rearrangement

Metal-Halogen exchange

Carbonyl-Reduction einer [1,3]-Verbindung

Buchwald-Hartwig CC

Weiteres Beispiel einer reduktiven Aminierung

Oxidation of an alcohol (See OCI for details) 

2+4 Diels Alder Cycloaddition

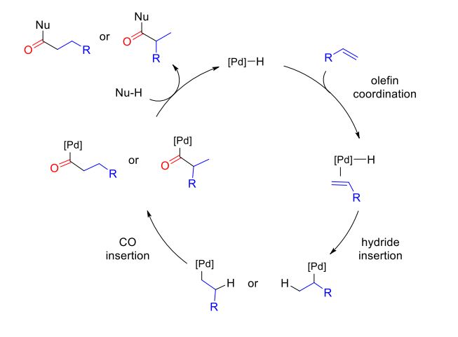
Heck Reaction (Zyklus bei Heck Reaction ist anders als der typische CC-Zyklus!)

Prinzipielles Schema der Olefin Metathese

Wittig-Reaction (Part 2, Selectivity: If stabilized by EWG's: E-Olefins, else Z-Olefins)

Nucleophile Öffnung von Epoxiden

Stereochemie beachten! ==> ACOC II 

Corey-Chrakovsky-Expoxidation

Kann in der zweiten Reaktion kein Cyclopropan bilden, da das Edukt kein 1,4-Carbonyl ist.

Macrolactonisation

DCC Amide Coupling (other coupling reagents also possible, such as EDCI for example)

Hydride Shift [1,5]

Inverse Electron Demand (Hetero) Diels-Alder Reaction

Single-Electron-Reduction

Hofmann Rearrangement (Vom Amid zum Amin) 

Mechanismus: Isocyanat-Intermediat, dann workup mit Wasser und base. Dies decarboxyliert die Verbindung und das Amin bleibt übrig.

Bamford-Stevens-Shapiro Reaction

OH-Insertion reaction

Formation of Ladderanes (Photochemical 2+2 Cycloaddition)

NH-Insertion

Schützen von Aminen mit der Boc-PG (Triebkraft: Entropie, Gasentstehung)

Tsuji-Wacker Oxidation

 

Cuprate werden oftmals durch Transmetallation von Organolithiumverbindungen hergestellt. Dummy Ligand: Billiger Ligand, der als zweiter Ligand hinzugegeben wird.

Hydorboration of an Olefin with subsequent treatment with Base and Hydrogen Peroxide yields an Anti-Markovnikow alcohol, which can be oxizied.

Durch starke Basen, allen voran LDA, können Carbonyle an ihren alpha-Positionen alkyliert werden.

Thiamin Variant of the Benzoin-Reaction

© 2026 MemoCard